图知网
搜索
首页
热门推荐
图片分类
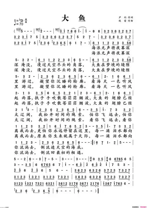
《大鱼》吉他谱
下载原图
相关图片
大鱼简谱-周深演唱1
大鱼尤克里里谱弹唱版c调简单版ukulelecn编配周深
大鱼周深演唱智能简谱动画电影大鱼海棠印象曲
周深《大鱼》尤克里里曲谱-c调弹唱谱
大鱼(周深演唱)智能简谱动画电影《大鱼海棠》印象曲
弹唱发布/睿影热度/1835周深《大鱼(ikaopu可播放版)》吉他谱本谱为
为你推荐
古董珠宝
张柏芝的骨相真的很完美这颜值也太绝了吧这也太美了吧
31岁的军艺校草杨洋,一笑倾城状态太好了!
他娶过郝蕾,爱过王珞丹,负了殷桃,没想到38岁却又娶小10岁的她_李光洁
航远牌小型农用运输拖车斗,拖拉机后牵引平板车斗,运输倒短用自卸拖拉
约稿 #q版 #q版人物 #天官赐福 #墨香铜臭 #风师娘娘 #师青玄
动漫素材3临摹
梦境花园唯美治愈小清新壁纸图片_桌面壁纸图片_壁纸下载-元气壁纸