图知网
搜索
首页
热门推荐
图片分类
我院学生会换届公示名单
下载原图
相关图片
我院青协换届公示名单
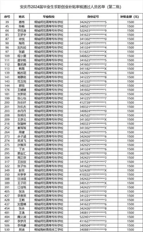
名单公示!桐城2所学校50人获补贴
宜川县乡村公益性岗位拟聘用人员名单公示
公示|怀远县拟命名2021年"美丽庭院"示范户名单
中国城市燃气协会关于第九届理事会拟定负责人名单的公示_01.png
2023年度江苏省新闻专业高级职称申报人员名单公示
为你推荐
29岁黄景瑜脱离滤镜演警察,瘦一圈更惊艳了,常征这个角色演对了
书包女韩版高中大学生大容量简约百搭2020新款双肩包女古着感背包
七绝·藏头诗
妻子生病打点滴丈夫跪半小时喂米线网友让我相信有真爱
西施的死亡,竟是一个未解之谜!
注射完应在拔出针头前至少停留10秒从而确保药物全部被注入体内同时
手绘 茉莉公主
葡萄缺镁怎么办