图知网
搜索
首页
热门推荐
图片分类
远达环保:4月2日消息,远达环保开盘报价5.4元,收盘于5.450元,涨0.92%.
下载原图
相关图片
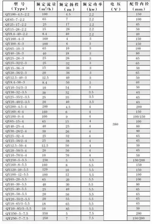
qy油浸式潜水泵,qy泵参数,qy泵价格
5/n防爆潜水泵报价 质量保障bqs15防爆潜水泵-阿里巴巴
自动搅匀潜污泵污水处理泵50wq201515全不锈钢潜水泵带耦合
泵业上市公司名单泵业股票行情查询2024410
过滤器三合一净水循环泵内置小型免换水过滤器静音增氧潜水泵>800_800
水泵制造相关上市公司全名单一次说清楚2024314
为你推荐
正在吸烟的男子图片第1张
两年前的今天 黄子韬ins晒背影一张
刘耀文头像
创意家居q版搞笑贾半仙算命先生存钱罐摆件 学生礼品树脂工艺品
收钱gif动图_动态图_表情包下载_soogif
萤火虫之夏唯美意境动漫电脑桌面壁纸
原创"中南半岛"的地形特征:山河相间呈南北纵列分布,地势北高南低
向日葵简笔画涂色用蜡笔上色