图知网
搜索
首页
热门推荐
图片分类
像梦一样自由 汪峰 歌谱 简谱
下载原图
相关图片
云深一梦(古筝谱-双手版-电视剧《陈情令》蓝忘机同人曲)
云深一梦(陈情令蓝忘机同人曲) 歌谱简谱网
歌曲红尘一梦千年缘的简谱歌谱下载
古风文案神仙歌词篇云深一梦
云深不知处简谱视唱第1页
红尘一梦是千年简谱(歌词)-丁秋萍歌曲-一笑奈何晓斅曲谱-歌谱网
为你推荐
闺蜜头像二人真人可爱霸气高清闺蜜头像可爱真人霸气高冷两张图
带你认识所有汽车车标
儿童歌曲新年好吉他谱
坚持民主集中制图片
会计制度设计论文(手写带横杠空白版).doc
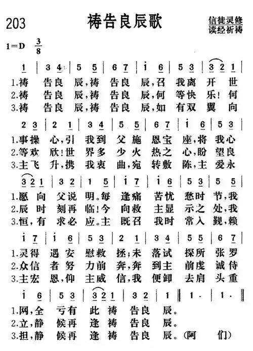
第203首 - 祷告良辰歌
小朋友_女生头像_我要个性网
redmer hoekstra超现实风格黑白插画