图知网
搜索
首页
热门推荐
图片分类
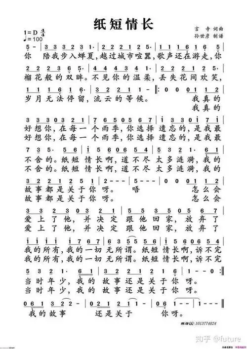
蜜庄奴收藏曲谱发送到邮箱打印曲谱曲谱纠错类别:口琴曲谱发布:大c
下载原图
相关图片
虫儿飞口琴简谱 不要5b2d 的那种
口琴吹奏简谱未闻花名
祝福你口琴简谱
雪の华( c调半音阶口琴 ) 歌谱简谱网
跪求 同桌的你 这首歌的口琴曲谱!
星之所在(半音阶口琴) 歌谱简谱网
为你推荐
动漫婚纱头像情侣头像一对_微信头像图片大全
手写古风生日贺卡 简约节日祝福卡片结婚 一岁一礼,一寸欢喜
丹吉洛拉塞尔第5年金州勇士dub nation
微信头像该换新风格啦,试试这款真人照片手绘头像吧,超适合你
中华常州恐龙园门票多少钱__常州恐龙游玩攻略中华园路线
马恒达丰收mfs200拖拉机
真的爱你 歌曲类 简谱
参观海口红树林.(一)