图知网
搜索
首页
热门推荐
图片分类
屯溪老街
下载原图
相关图片
图文伙伴计划 黄山屯溪黎明老街 黎阳老街位于黄山市屯溪区黎 - 抖音
中国历史文化名街--黄山市屯溪老街 2020.08.20.
先有屯溪镇 后立黄山市
屯溪三江口打卡真美真棒
官方回应黄山市积极推进屯溪镇海桥灾后修复
12.04安徽黄山屯溪老街与黎阳老街
为你推荐
刘诗诗高清图片第2269期
mcm贝壳包
吃够了太重感情的苦 只想做个血里带风的-简约皮肤-小清新_qq皮肤- 第
了一二三四五六七八九十的大写,主要原因是,数字 大写以后,因为笔画多
真三国无双7-黄巾传【黄巾集结战】hottie孙尚香华丽向通关(1.
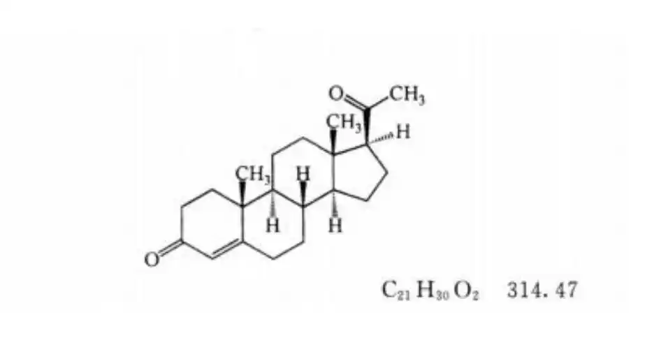
化学结构式为天然孕激素.常用剂型有注射液,片剂等.
10年老款圆灯指南者jeep经典前脸
救赎