图知网
搜索
首页
热门推荐
图片分类
第二看守所开展坚持政治建警全面从严治警教育整顿活动
下载原图
相关图片
第二看守所民警任建坤:监管战线疫情防控排头兵
为什么看守所在地图上搜索不到?看守所,拘留所和监狱的区别?
王斌林同志到市第二拘留所检查指导监所安全管理工作
福州第二看守所举办开放日见证人性化管理
一起交通事故,他们为何把自己送进了"看守所"?
别犯罪,要不在看守所要参加这个比赛
为你推荐
有没有特别好看有内涵不渣男的男生微信头像? - 知乎
梦幻而唯美的风光摄影文章图片视频转载网络,版权归原作者所有,侵权
简笔画十二星座 - 抖音
绿松石手串.04颜色,颜色,颜色重要的事情说三遍,大家在选购 - 抖音
杨超越王俊凯最近都谈了《中餐厅》飞行嘉宾,两人几乎是同来同走
因维护赵晓卉而狂怼宁静?王建国深夜发文澄清:我需要助听器!
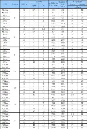
轴承型号尺寸对应表
热带草原猫的生活习性与养殖须知