图知网
搜索
首页
热门推荐
图片分类
粑粑简笔画
下载原图
相关图片
便便简笔画便便简笔画可爱
在大纲风格大便图标
便便简笔画 便便简笔画可爱
线条图标,一堆狗屎
线画便便表情符号图标
卡通狗屎图片-卡通狗屎素材-卡通狗屎插画-摄图新视界
为你推荐
监狱警察属于什么事业单位(监狱警察是公务员还是事业编)
靠谁都不如靠自己 靠自己的得来的才是最安全的 才是最踏实的#独立
博云创噪音传感器模块 工业噪声分贝计 噪声传感器检测模块byz08
饰中式花屏仿真花玄关高景德镇落地大花瓶摆件客厅插花大号干花装
山西省肉制品生产加工小作坊监管乱向
城市建筑停机坪插画
二年级语文上册的课文中的珠峰的全称是什么是哪个山脉的主峰
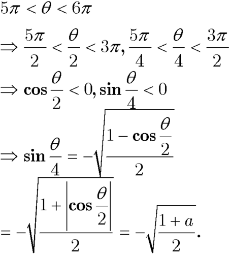
cosθ/2|=a,5π θ 6π,那么sinθ/4的值等于?(要过程)