图知网
搜索
首页
热门推荐
图片分类
篆体字转换器工具可以将电脑上所有简体字快捷转换成各种精致篆体字体
下载原图
相关图片
篆字在线转换",点击跳转到相关目录,选择"篆书在线转换_篆体字转换器"
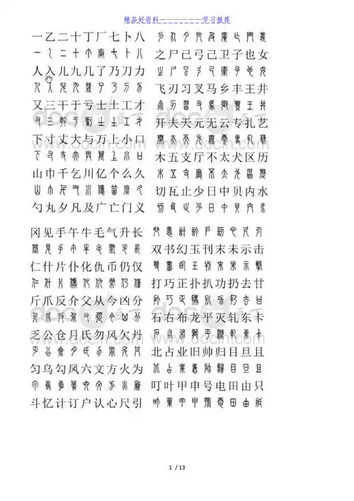
干货篆体对照2500字典高清版
篆书字典 2500字对照
篆体字转换器截图
篆字2500字对照表
干货篆体对照2500字典高清版
为你推荐
《侦察英雄》:罗晋的表演 男主角罗晋在电视剧《侦察英雄》中的文质
斗图表情包 - 斗图神器 - adoutu.com
何字的草书怎么写,何的草书书法 - 爱汉语网
爸爸3成《海尔兄弟》真人版 诺一撞脸海尔兄弟
7万次观看·3周前80年代怀旧老电影的相关搜索80年代农村喜剧老电影80
椰子树高清风景图片桌面壁纸
宋 定窑白釉细片鱼尾瓶 老物件真品宋代古瓷器 古玩古董收藏复古
维克托