图知网
搜索
首页
热门推荐
图片分类
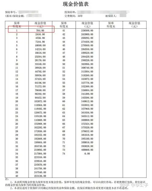
现金价值表怎么读
下载原图
相关图片
大家鑫福一生年金保险 现金价值表(示例)
120_国寿福寿年年两全保险(分红型)现金价值表示例
华夏年金险现金价值表?附三款热门产品现金价值一览表 - 希财网
某重疾险的现金价值表,不同重疾险,现金价值表不同
中邮年年好新百倍保两全保险现金价值表示例自驾航空
现金价值表一目了然. 中国人寿.
为你推荐
婚纱照情侣头像一对两张唯美婚纱情侣照
女性间的情感如此真挚阳光劫匪马丽宋佳和真老虎上演母女情
一波幽默搞笑心情短语来袭,选一个发朋友圈吧
首先,让我们聚焦于歼-31战斗机的外观设计.
沙滩十字路,北至马家窑,区域地界长七公里,共有十三个村小组,加新农村
他和老婆是半路夫妻,64岁和儿子拍段子,豪宅内景曝光
初心
《 b>我们的少年时代 /b>》 b>邬童 /b>的爸爸为何哭了?