图知网
搜索
首页
热门推荐
图片分类
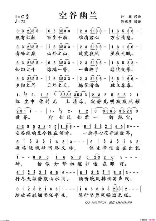
空谷幽兰歌词简谱-苍强曲谱
下载原图
相关图片
空谷幽兰简谱-许巍演唱1
空谷幽兰独唱王秉钧词吴克敏曲
《深谷幽兰》简谱
空谷幽兰曲谱图片
安静于尘 幽谷杏花天影 箫谱快六板笛子谱 洞箫谱 器乐乐谱 中国曲谱
空谷幽兰,她们甘当一只"昆虫"
为你推荐
回顾老戏骨于荣光出道41年0绯闻为何到了63岁妻子跟他离了婚
戚薇素颜照曝光眼袋厚重法令纹深网友李承炫看了都要后悔
8月24日晚上,胡静更新微博晒出了脚受伤的照片,并俏皮的称:"真正崴
小型卡车做什么生意好(小型卡车做水果生意怎样)
休止符是什么意思
月刊少女野崎君
寻味临沧 │ 傣族手抓饭_双江_孔雀_饮食
母亲,婴儿,玩,微笑,幸福之家,在家,室内,冬天_高清图片_全景视觉