图知网
搜索
首页
热门推荐
图片分类
达达_章周彤_薛天
下载原图
相关图片
前万科副总裁周彤离职创业 有金主信达"撑腰"
科技股迎破发潮:看优质企业"阵痛"后如何逆袭
东莞万科总经理周彤先生发表致辞
周彤
上市公司投资者关系天马奖"专家评委暨投关研讨会上,万科a集团合伙人
灯笼高挂庆团圆元宵香甜送祝愿周彤老师祝大家元宵喜乐
为你推荐
[9.0新]路易威登lv女士限量牛仔布手提包
名侦探柯南头像
电子手帐模板366566
病理红蓝铅笔绘图
办公室学生会群头像 大学学生会办公室群头像_微信头像图片大全
工作一天的心情就是好累#表情包 #疲惫 #好累 #插画 #可爱鬼 #阿飘
种丹妮《那年青春我们正好》苦追郑恺惹人心疼
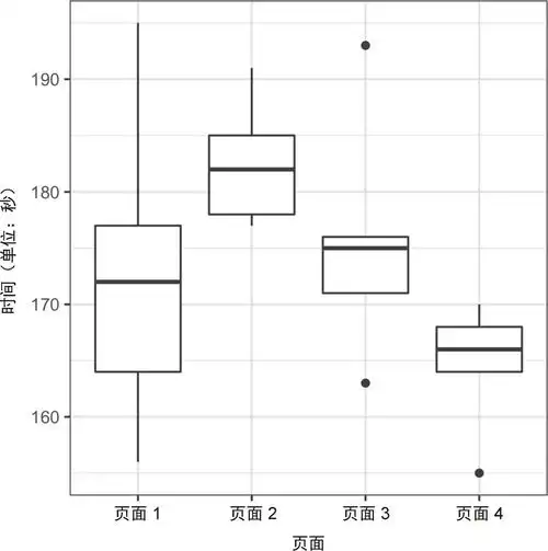
3-6:4 组的箱线图显示了组间的显著差异