图知网
搜索
首页
热门推荐
图片分类
考研数学-常见的11个泰勒展开式 这是最全的泰勒展开式的集合,可以
下载原图
相关图片
常见的泰勒公式展开式大全
高等数学九泰勒展开式
三角函数泰勒级数展开式(公式)双曲函数泰勒级数展开式指数函数泰勒
里叶级数展开式天圆地方展开图泰勒定理横向展开议论泰勒公式及其应用
(arcsin x)^2的泰勒展开式是什么? - 知乎
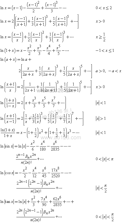
对数函数泰勒级数展开式
为你推荐
杨幂红色格子衫搭配白色超短裤(杨幂是住机场了吗)(8)
14款高人气男发,流行又帅气,年轻男士的最爱|发型|刘海|时尚|男士发型
4位明星双眼皮做得很成功,简直判若两人
高清好看的优质精致背影女头图片,女生头像图片
紫玫瑰花语:守护爱情 表示 浪漫真情和珍贵独特
八一建军节帅气军人插画,高清图片,手机壁纸
完美关系斯黛拉职场女强人的精致一面
青龙虾