图知网
搜索
首页
热门推荐
图片分类
刘畊宏个人资料简介(刘畊宏简介)-天津津南听闻
下载原图
相关图片
作者简介:刘畊宏,歌手,演员,更是华人娱乐圈第一健身品牌,曾任央视
刘畊宏个人资料简介刘畊宏为什么这么火
主持人刘畊宏个人资料和图片 刘畊宏老婆是谁
刘畊宏个人资料 - 刘畊宏老婆/身高/年龄/王婉霏 - 星爪时尚网
刘畊宏生日,周杰伦回忆刚出道时的辛酸,激动发文:该我照顾你了
资料图片:刘畊宏精彩写真(4)
为你推荐
柳子峻老子出关紫气东来
画像挂画画像版画 江山一片红人民公社饭店红色装饰画像 人民公社 75
14种可爱并稀有的野生动物,你了解吗?
cf怎么换仓库里的击杀图标
一脸享受的表情包_微信头像图片大全
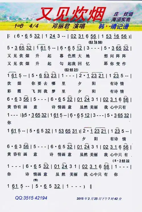
又见炊烟【彩谱】简谱
小学生夏天来了手抄报怎么画,夏天来了手抄报模板教程
可爱的蜜蜂卡通挥手