图知网
搜索
首页
热门推荐
图片分类
创意简约国际和平日海报
下载原图
相关图片
2020-2021年度和平海报优秀奖97幅
2020-2021年度和平海报优秀奖97幅
和平海报
2020-2021年度和平海报优秀奖97幅
2020-2021年度和平海报优秀奖97幅
和平海报北京报送作品68幅
为你推荐
油画名画人物 97
卡通怪兽设计矢量图
手相中有这3点晚婚为宜否则难免情感不稳
周杰凌晨发文,称不当演员了发现大家都是好演员
具有双重人格的三大星座,还能好好玩耍吗?
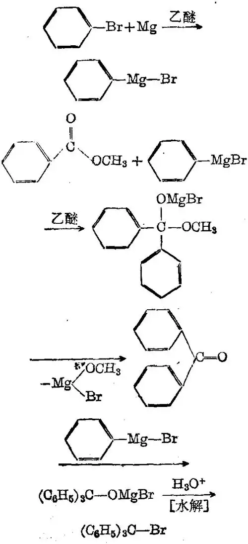
三苯甲醇-化学词典-专业词典
青藤香#野生植物 #一日一植物 #大自然的馈赠 - 抖音
太空飞船系列幼儿简笔画.