图知网
搜索
首页
热门推荐
图片分类
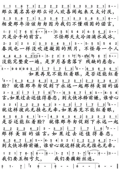
匆匆那年简谱(歌词)-王菲演唱-电影《匆匆那年》
下载原图
相关图片
匆匆那年(林夕词 梁翘柏曲)
正版唱片 王菲专辑 匆匆那年 精选流行老歌经典歌曲 汽车载cd碟片无损
匆匆那年(同名电影主题曲)
匆匆那年歌谱
匆匆那年歌词简谱
匆匆那年简谱
为你推荐
女生头像动漫古风梦幻闺蜜
女生头像|高冷黑长直御姐头像
白月光与朱砂痣简单版白月光在照耀你才想起她的好抖音热歌双手简谱
今年流行"挂耳lisa染"韩国爆款染发发型
找朋友儿歌简谱
阳台花瓶柱怎么来安装阳台花瓶柱安装三大要点
星光学园校服礼服
蓬径2米红叶石楠球价格报价直销