图知网
搜索
首页
热门推荐
图片分类
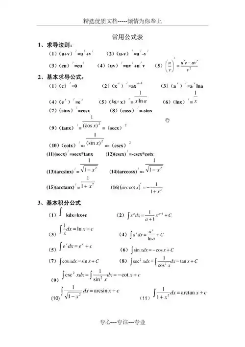
大学导数公式
下载原图
相关图片
高中导数公式
常用求导公式表共2页
导数公式是什么?
常见求导公式
2020部队专升本科学基础高数-第二章导数:基本求导公式
高二数学常用导数公式大全
为你推荐
园林景观:风水这边独好 融侨城所拥的内湖公园——融侨公园
这次,被称"乐华台柱子"的王一博,再次证明他的重要性
白樱花
清朝官员的顶戴花翎,代表不同意义,谁可以获得花翎?
银斯妮复古男士项链男泰银吊坠羽毛信仰正义
漂亮的女人吸烟 illsutration
一些莉娜熊|帕恰狗头像#玩偶头像##可爱头像
各位友友们,4月3号晚上有只一岁零10个月的银渐层猫猫,在世 - 抖音