图知网
搜索
首页
热门推荐
图片分类
s号 165 适合身高165cm左右, 体重100以内 m号 170
下载原图
相关图片
裤子m码适合多高?体重多重?
fashion talk 穿搭说 裤子m码适合多高 体重多重 m号即为中号
【已出】优衣库199大衣灰色m码
卫衣m码是多大
m码是多大
【体重】尺码对照表_不同体重身高适合穿的码数-她时代
为你推荐
来点漂亮女明星证件照吧
动漫腹肌男撩衣服头像
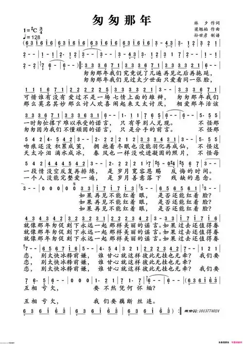
匆匆那年简谱
互联网时报:apple起诉corellium用于销售ios的完美复制品
泰女星yaya
经典繁方篆体
摩托车机油尺jh70 90 100 110 cg125 150型机油标尺刻度尺通用
大地歌曲类简谱