图知网
搜索
首页
热门推荐
图片分类
雪国列车重磅上映高清剧照一饱眼福
下载原图
相关图片
雪国列车扬雾运动
雪国列车
雪国列车
《雪国列车》影视剧照高清手机壁纸
雪国列车
雪国列车
为你推荐
朱雨辰帅气亮相慈善晚宴 爱心引爆正能量
吕一时尚摩登街拍变身气质名媛47
南韩三代男团有公认神颜吗
法式奶油浴室,无顶喷双花洒百搭又实用!
农村建房子风水有什么忌讳(农村自建房的讲究)
乡村广场|空间|景观设计|子懿思言 - 原创作品 - 站酷 (zcool)
由来同一梦,休笑世人痴——从《红楼春趣》走进《红楼梦》故事
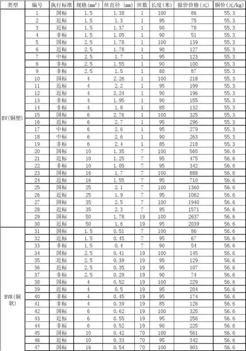
铜线面积直径对照表