图知网
搜索
首页
热门推荐
图片分类
为什么社会上会有一部分人认为虐待动物没有错?
下载原图
相关图片
冷血女子因不满被甩,拿仓鼠出气,眼球险些被捏爆,引发网友抨击
仓鼠
这只仓鼠做错事后企图一逃了之,被抓回去还一脸无辜呢!
机器人!
美图欣赏京杭大运河中运河徐州段
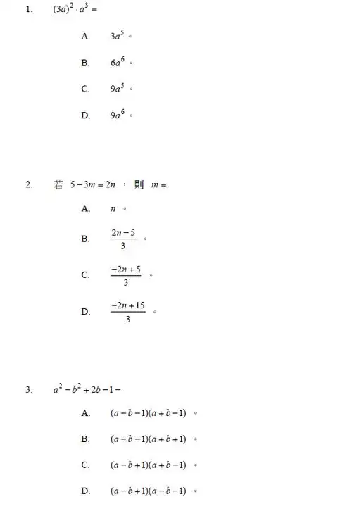
香港dse考试容易吗?香港教育机构全面解读
为你推荐
蔻驰coach kristy系列 印花logo时尚百搭休闲风单肩包 女 欧美时尚
《三国演义》貂蝉和吕布调情,两人眼神暧昧很多情!
杰瑞趣味的熬夜表情大全真的我不困
一场未来高科技服装的视觉盛宴用水波打造的衣服细思极恐
60岁离异女征婚照片(id:578825)_湖北宜昌征婚交友_我主良缘网
滨州两名男孩不幸溺水身亡
儿童镂空绘画模板手账模板diy相册花边尺手帐绘图神器画版54款
七龙珠4k超清手机壁纸 - 搜狗图片搜索