图知网
搜索
首页
热门推荐
图片分类
道奇-酷威-2.0td 四驱尊尚版,设计的非常得体,给人感觉很舒服
下载原图
相关图片
p>道奇酷威集合了家用mpv的舒适与大空间,以及suv驾驶性能与动感
道奇酷威最高优惠3万元 部分现车在售中
2013款道奇酷威,4万豪华七座suv
对道奇酷威的品鉴与欣赏
官方
【 道奇酷威图片】_外观_搜狐汽车网
为你推荐
洪涛发文推荐!《歌手2024》官宣fine乐队,两名成员是泸州学子
库里训练中再秀勉扣球鞋全部被打码疑似是库里9
食物营养素成分简表
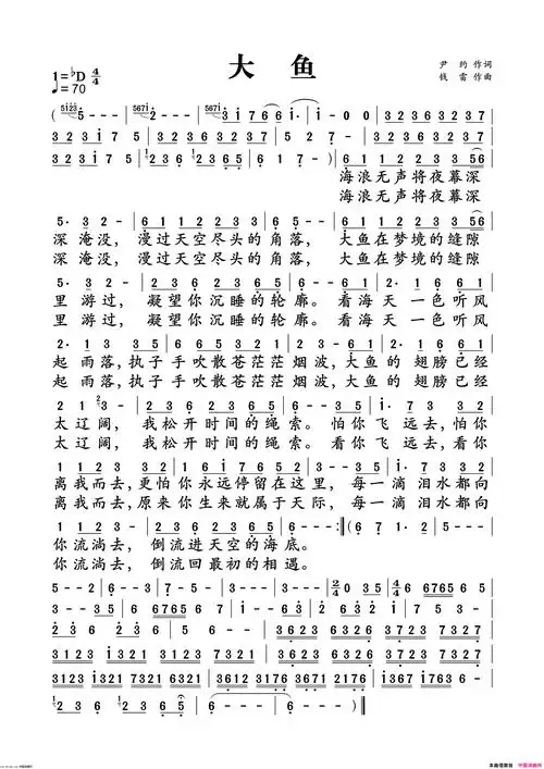
大鱼简谱-周深演唱1
悠悠寸草心 感恩三八节——长垣市第二实验小学三八节主题教育活动
夜幕降临,俯览珠海市斗门区的夜景,流光溢彩,令人陶醉.
gbca proposes net zero carbon buildings in green star system
大年初八拜顺星 顺星之日,愿吉星高照 祝大家在新的一年里 平平安安