图知网
搜索
首页
热门推荐
图片分类
女孩背影简笔画
下载原图
相关图片
女孩背影教程
少女黑白简笔画#绘画教程49(附过程) 少女背影手绘简笔画74绘画过程
简单线条画背影女孩,一看就会 简笔画
长发短发女孩背影简笔画
学画美女背影简笔画
人的背影图片简笔画人的背影图片简笔画女孩
为你推荐
杨幂下班回家没注意与路人同框看到腿围差距才知明星可以有多瘦
张一山杨紫演情侣关凌怀孕 揭童星婚恋情况(组图)
半挂车9分宽钢板卡子u型螺丝40镀烙材质 24粗骑马卡 半挂车配件
想开发2d射击游戏?像素画枪械画法指南
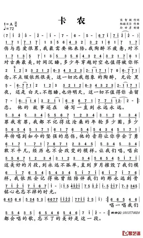
卡农简谱宋智敏演唱孙世彦制谱
怎样从手掌区看疾病 - 好网角收藏夹
首页>元灵主宰>第6话茅厕春色> > 元灵主宰 >
魔域