图知网
搜索
首页
热门推荐
图片分类
【10种橡皮】简单四步画出橡皮图教程简笔画
下载原图
相关图片
qq画图红包橡皮擦怎么画qq画图红包橡皮擦方法介绍
橡皮擦,细的,绘画插图,轮廓,计算机图标
橡皮擦的简笔画步骤图解
手工专题橡皮擦简笔画
橡皮简笔画 橡皮简笔画图片
橡皮擦简笔画 方形橡皮擦简笔画
为你推荐
上海钢盟国际贸易有限公司logo
我们的"小黄鸭"周冬雨也是贝雷帽热爱者,她的贝雷帽造型非常值得我们
寺庙平面图图片
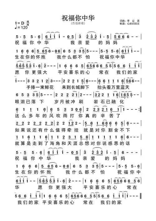
祝福你中华
男装海报 海报 夹克海报 1920海报
最拿手的红烧鱼 鲜辣入味 汤汁泡饭绝了
本田xr-v 说到近两年的热门车型,这其中肯定有小型suv.
1973年,曼联正式在队徽中加上了红魔鬼的形象,这支名叫"fred"的红色小