图知网
搜索
首页
热门推荐
图片分类
山海经之神话 第1集|女娲,女神级,端庄美丽,人脸蛇身,造人 - 抖音
下载原图
相关图片
女娲娘娘,中国上古神话中的创世女神. 又称娲皇,女阴,史记女 - 抖音
女娲
女娲就是最强创世神么?
女娲:中国神话中的文化瑰宝_人类_故事_智慧
ai还原女娲真实容貌,"人身蛇尾"的创世女神长这样!
1女娲的样子是人首蛇身.
为你推荐
袁姗姗身穿瑜伽裤再秀身材,脸变了不重要,身材没变就可以|杨幂|刘涛
金泰亨和lisa
亚裔女生大拇指朝下用泰式校服戴手术口罩,防止电晕病毒感染,粉尘
实木组合花架子阳台室外阶梯多肉置物架梯形多层花盆架落地式梯形花架
我们一定要幸福爱快乐微笑gif动图_动态图_表情包下载_soogif
静脉留置针输液法ppt
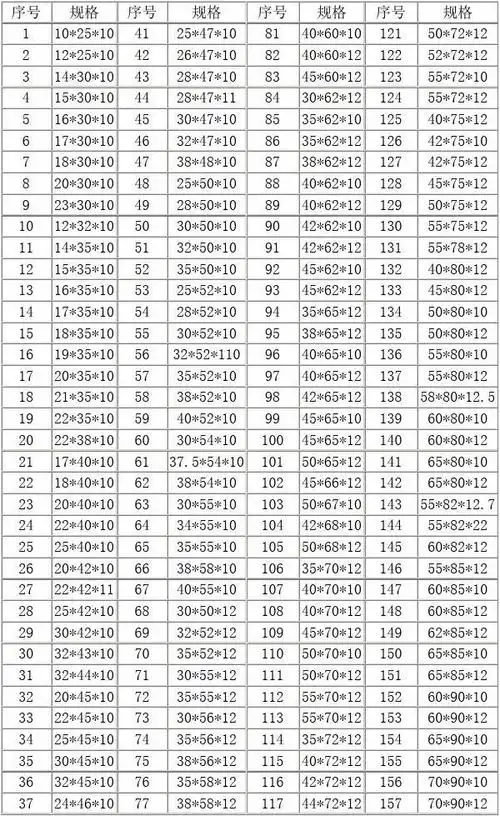
骨架油封规格表
9集儿童专注力训练素材共40页可以直接打印