图知网
搜索
首页
热门推荐
图片分类
家居立邦网红人气色号系列
下载原图
相关图片
最受欢迎的立邦人气网红乳胶漆色卡 最受欢迎的立邦人气网红乳胶漆
立邦热门乳胶漆实拍图73全屋配色方案
装修干货95立邦漆超火网红莫兰迪墙漆色97
立邦色卡网红色号页码
立邦外墙色卡
2021立邦网红色乳胶漆色卡编号分享
为你推荐
要建房就就这样的漂亮气派的法式别墅
李小龙的女儿李香凝的最新状况揭示:遗传和生活变迁.
曾经一起追的韩剧经典电视剧,《天国的阶梯》至今让人无法忘怀!
蔡徐坤|欣欣|鹿晗_新浪新闻
2020年冬至节气,家长进课堂
二次元帅气头像90男生必备!
打卡红色教育|临沂大学:一座浮雕记录沂蒙"密码"
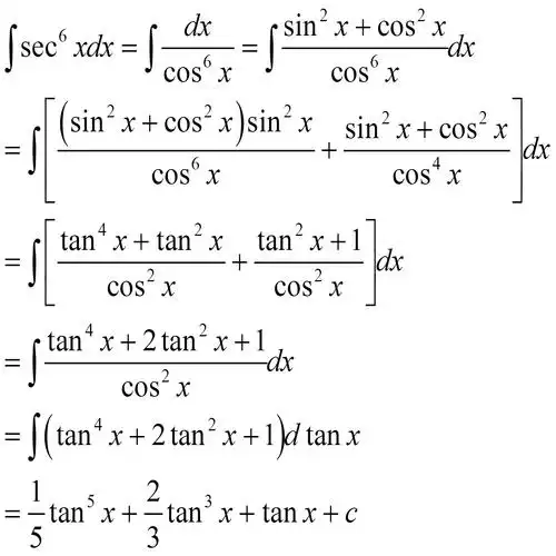
正割函数六次方的不积分怎么算?