图知网
搜索
首页
热门推荐
图片分类
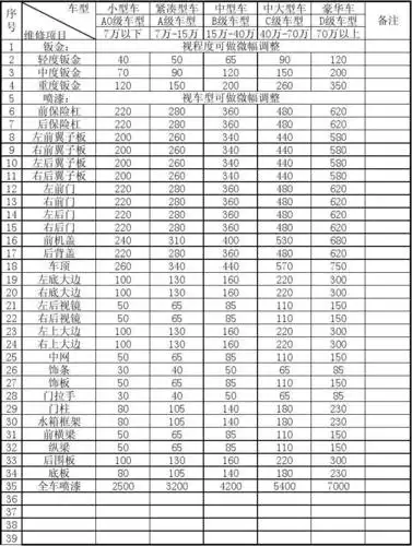
抹灰面油漆报价表
下载原图
相关图片
无忧文档 所有分类 工程科技 机械/仪表 钣金喷漆价格表 30 160 220
陕西渭南液力喷播机市政工程
油漆翻新工程报价表
895乳胶漆喷涂机高压无气家用漆涂料大功率电动喷漆机
德国进口瓦格纳尔hc970汽油高压无气喷涂机乳胶漆涂料腻子喷涂机
99.妙师傅乳胶漆喷涂机油漆涂料喷漆机喷漆 - 抖音
为你推荐
【图】男士小背头发型怎么弄好看 4款时尚背头发型推荐
欧美明星街拍:穿出基本款的多面表情!
痞帅黑白动漫男头像图片
鹦鹉飞在森林 桌布 - 2560x1440 qhd
抱着新娘向幸福出发
800
这些熊猫吉祥物你认识几个
考拉情侣头像_微信头像图片大全