图知网
搜索
首页
热门推荐
图片分类
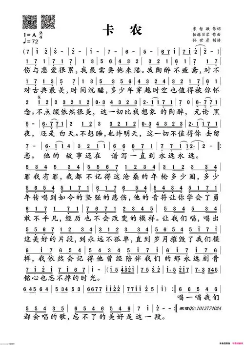
卡农双手简谱c调
下载原图
相关图片
世界名曲《卡农》双手简谱钢琴指法版
卡农简单好听版-eop教学曲双手简谱预览1
《卡农》钢琴简谱
卡农-变奏版-我的野蛮女友插曲双手简谱预览1
卡农简谱(全)
卡农-右简谱歌谱-苍强曲谱
为你推荐
手工串珠各种串珠心形有图解
60多岁的老妈自己找了一部电视剧看,然后不停的惊呼 : 这个小孩是吴磊
朱媛媛获金鸡奖最佳女配角穿白礼服优雅动人曾为孩子放弃潜伏
第一张心灵沐浴阳光健康成长手抄报让心灵沐浴阳光心理健康手抄报怎么
三角形图案设计图__花边花纹_底纹边框_设计图库_昵图网nipic.com
luzysal做的清炒南瓜苗
北美樱桃木书桌餐桌岛台面
jadior织带女鞋 dior 迪奥春夏水晶鞋 bling.bling.