图知网
搜索
首页
热门推荐
图片分类
课后练习-4位加法器答案ppt
下载原图
相关图片
小学生手搓四位加法器
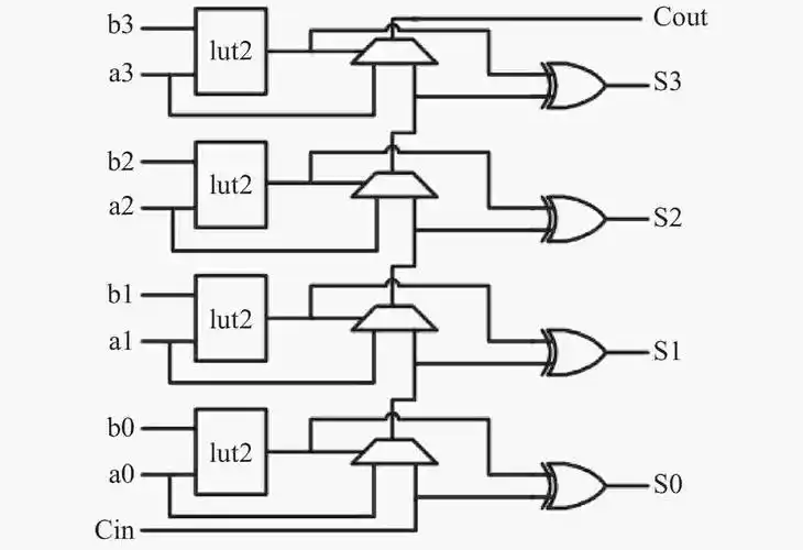
图 fpga实现的四位涟波进位加法器
超级全加器的4位加法运算电路图
4位并行加法器
四位全加器74ls83引脚图及功能表_参数
[logisim] 四位并行加法器 (四位先行进位加法器)
为你推荐
我的暑假生活绘画男孩版
厨余香蕉皮生活垃圾分类icon图标志素材
东风标致207标志3013073083008新408508方向盘套专用车把套
图书馆内外景
警察节基层民警抒写最美警察故事幼儿简笔画大全
座头市
金馆长 逗比 搞笑 年纪17岁
枝的美——冬至后落叶树