图知网
搜索
首页
热门推荐
图片分类
香奈儿coco noir香水的灵感来自香奈儿coco (1984) 和coco
下载原图
相关图片
她从不透露她的秘密, 她只透现耀眼光采.香奈儿可可小姐黑色香水系列
chanel黑色可可可小姐coconoir
chanel香奈儿香水黑色coco可可小姐馥郁摩登持久留香女士50/100ml
香奈儿黑coco香水好闻吗优质
香奈儿(chanel)可可小姐黑色香水
香奈儿coco小姐黑色香水
为你推荐
那些年我们一起追的小龙女 -《神雕侠侣》官方网站
冬季雪景唯美图片 冬有冬的来意,雪有雪的秘密.
高级感壁纸#ins风 #好看的背景图 #卡通 #少女心 #极 - 抖音
wooah 大美女 娜娜 合集_哔哩哔哩_bilibili
原创钟汉良他一直是单身贵族其实他早已结婚女儿有点像小甜馨
卡通简笔画 | 小鸟 丙烯马克笔涂鸦 ##手绘 #简笔画 # - 抖音
鬼灭之刃唯美手绘风手机壁纸
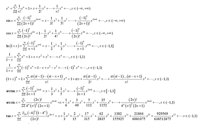
求大神把泰勒公式中常用函数的展开式写给我谢谢了,要详细的