图知网
搜索
首页
热门推荐
图片分类
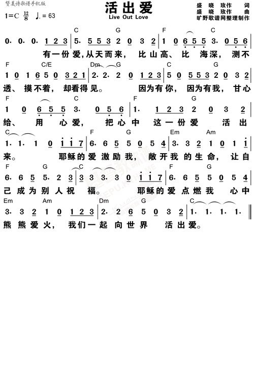
盛晓玫 - 活出爱
下载原图
相关图片
活出爱 官方和弦五线谱_其他乐谱_乐谱吧
活出爱
活出爱
主啊我要重新起航
活出爱简谱
活出爱简谱_盛晓玫活出爱歌谱简谱
为你推荐
董洁,11年触底反弹起飞,就是这个方法!
泡面头适合什么脸型 泡面头怎么打理_发型站_最新流行发型设计发型
解读上海市松江区广富林街道:有全国最美志愿服务社区的荣誉
竹头像
车贴遮挡划痕侧裙贴车身拉花 机盖 车顶 车尾进口材质白色贴纸一套
重视真实度!每一颗水滴都是细节!只钟爱画男孩子!——杯面面面_少年
【魔道祖师-金凌】你说机械做的心会梦到电子蝴蝶吗
房屋客厅屏风效果图(客厅屏风设计图)