图知网
搜索
首页
热门推荐
图片分类
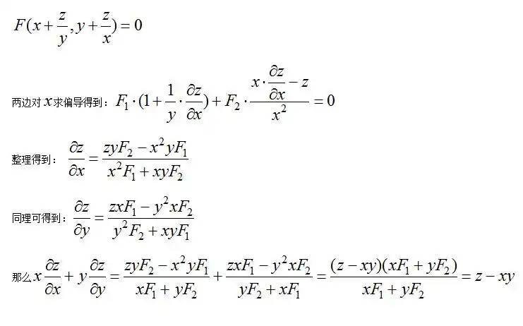
隐函数的求导方法ppt
下载原图
相关图片
第五节 隐函数求导公式
隐函数求导 谢谢啦
8-5 隐函数的求导法
高等数学课后习题7隐函数求导ppt课件
关于二元隐函数求导的问题!谢谢
隐函数求导
为你推荐
精益创业画布模板.ppt
星空背景图_动漫图片_我要个性网
有哲理的文字图片
已售画鱼名家李春江四尺横幅鱼富贵久鱼
但是刘兴莲始终都没有在意,并且还给二女儿取名梁小小,只希望二女儿
硅胶翻模小技巧:调整零件角度,减少气泡积累
早安图片问候语正能量简短句子,发朋友圈早安的句子
一杯柠檬冰饮料