图知网
搜索
首页
热门推荐
图片分类
情侣头像配对2
下载原图
相关图片
蹲一蹲可以和自己用情侣头像的另一半吧#恋爱 #情侣 #情侣头像
找另一半的情侣头像.
求这张情头另一半!_情侣头像_动漫_情头_素材_头像
情侣头像另一半
薇 desx886 智能识别图片 找情侣头像另一半神器 小玲儿手绘头像
情侣头像在线识别配对,情侣头像在线匹配器
为你推荐
中元节祭祀用什么花,敬献鲜花寄托哀思
蝎子辫: 边编辫子边从两侧抓进头发来, 就是最容易的蝎子发辫.
百万葵园外景
皇权富贵「范丞丞×黄明昊」
13奖状通用模板
王者荣耀虞姬无限倾慕星传说皮肤4k高清壁纸
东京奥运会心酸励志骨科医生讲述陈芋汐金牌背后的故事
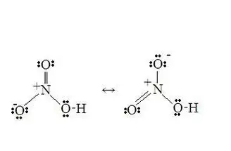
硝酸的路易斯结构式 解释 图