图知网
搜索
首页
热门推荐
图片分类
art by もにおにうむ moni* blog/website
下载原图
相关图片
vore简笔画
最快1,做仰卧起坐仰卧起坐是最基本的减肥动作,所以想要减掉大肚子的
5张图领略有点夸张的悬浮肚,除了不好入盆,还有两种尴尬等着呢
vore神奇宝贝浏览:1927收藏:0支持:13上传时间:2019-04-30 21:10:04
啤酒肚
女生最会「骗人」的地方,看了前后对比照片,我真的惊了!
为你推荐
刘昊然现身上海路演#今天@刘昊然turbo在上海路演,刘昊然真的好可爱
酱爆头像图片大全_微信头像图片大全
求贝克汉姆这张高清背影图谢谢了
原创iphone相册一键实现多图拼接九宫格发朋友圈是怎么实现的
最萌身高差##二次元##动漫##美少年##美少女
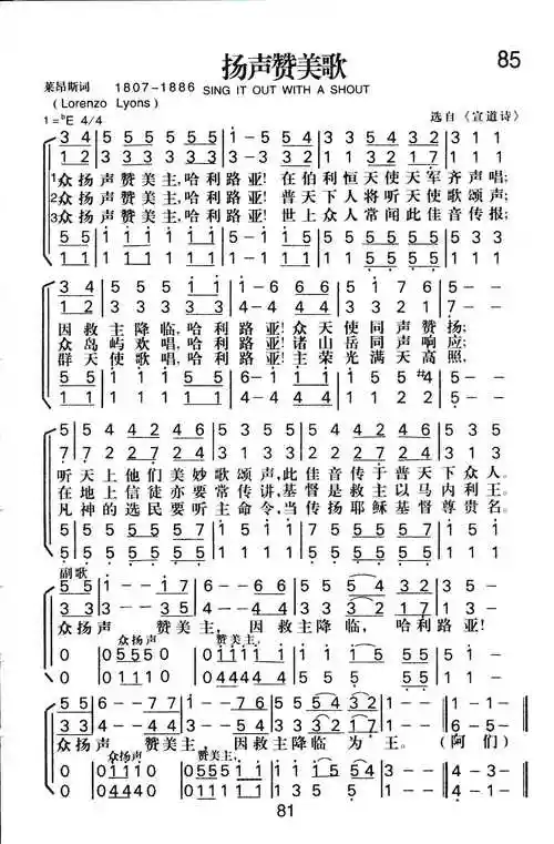
第85首扬声赞美歌
正宗的野生阳春砂仁农家自产自销全程自然晒干无任何添 - 抖音
无题原创竖图