图知网
搜索
首页
热门推荐
图片分类
今天又治疗了一位血栓性外痔的患者.我治痔疮就是这么任性
下载原图
相关图片
血栓性外痔图片56
环状混合痔1例
自己的情况,与这张图片对照一下,就可以知道你自己可能性是什么问题哦
环状混合痔嵌顿伴血栓形成
血栓性外痔图片 (35)_有来医生
痔疮长啥样子图片_外痔疮是什么样子图片2022已更新
为你推荐
burberry博柏利男士钱夹4080175巴宝莉钱包
赵丽颖何炅当街激吻 网友:小伙伴们惊呆了_央广网
小丑特效中英字幕高码版水印joker20191080pblurayac3x2641096gr级
海南美丽乡村
秦芳)16日,红军长征史诗巨片《血战湘江》导演陈力与主创人员携影片到
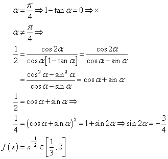
高中数学难题 求教
细中华1951现在多少钱