图知网
搜索
首页
热门推荐
图片分类
长隆欢乐世界.#图文伙伴计划 广州长隆分成4个园区. 长隆 - 抖音
下载原图
相关图片
广州长隆欢乐世界(广州长隆欢乐世界营业时间)
位于广东省广州市番禺区,拥有长隆欢乐世界,长隆野生动物世界,长隆
珠海长隆风光
蓝光昆明金桂街狂欢大道乐园
浪漫天堂|携子之手,共度欢乐时光
长隆欢乐世界动感狂欢一天直通车>
为你推荐
囍智能简谱
93记住这几点,保准没问题~1,连体塑身衣的穿戴方法93连体塑身衣
一道长虹跨碧海南三岛大桥最新进展来了
回顾10部大火的内地偶像剧,男女主颜值超台偶,全看过暴露年龄了
男生怎样自拍显丁丁大看到最后也真是够了
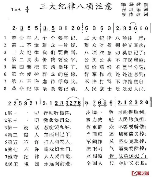
三大纪律八项注意简谱歌词
数据选择器设计三人表决器电路图(74ls153). (1)设计电路图如下
古诗词赏析第九首:枫桥夜泊.枫桥夜泊 张继【唐】 月落乌啼霜 - 抖音