图知网
搜索
首页
热门推荐
图片分类
已知数列an的通项公式an=-2n 11,如果bn=|an|(n∈n),求数列bn的前n
下载原图
相关图片
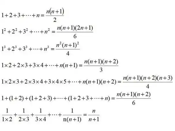
常用数列前n项和公式汇总
等比数列前n项和的公式 课件ppt
5等比数列前n项和的性质ppt
(2)理解等差数列的概念,掌握等差数列的通项公式与前n项和公式,并能
数列前n项和的求法总结
等比数列及等比数列前n项和性质证明
为你推荐
将发行推成小平头的造型,再用定型胶转出一根一根的效果,再带点碎发的
论摇把启动拖拉机,我只服这位大娘的操作
【苗家妇女(三)摄影图片】湘西人像摄影_摄行天涯--老梅摄影图库
王羲之兰亭序褚遂良摩本
首页 新闻动态 热点资讯 雅典大学是希腊最古老和最具影响力的大学,它
火之魔王兽--魔格庞顿水属性魔王兽,可以污染水源,制造恶臭,是欧布最
陈的美篇
下面将详细介绍如何设计一个好看又实用的衣帽间,并提供真实有用的