图知网
搜索
首页
热门推荐
图片分类
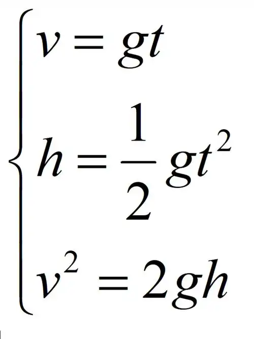
高中物理自由落体运动公式
下载原图
相关图片
高一物理自由落体运动3ppt 高一物理 5,自由落体运动的规律及公式 (选
高一物理自由落体公式
第二节自由落体运动规律ppt
自由落体运动与平抛运动知道是什么吗?知道怎么解决吗?
考虑空气阻力的自由落体运动公式(急) 空气阻力与速度的平方成正比 求
自由落体运动的公式怎么写
为你推荐
王俊凯深夜机场营业换清爽利落发型攻气十足
中国风青花瓷头饰走秀模特比赛夸张彩妆造型国潮古风旗袍发饰
金馆长张嘴牙齿旋风中指gif动图_动态图_表情包下载_soogif
连环画《西游记》大闹天宫,通天河,真假猴王,火焰山,假西天,无底洞.
大狗尾草禾本科狗尾草属
微信头像不挂旗,都不好意思说爱国_国旗
篮板
2024年第五届北京长城梅花节暨第八届响水湖长城梅花展