图知网
搜索
首页
热门推荐
图片分类
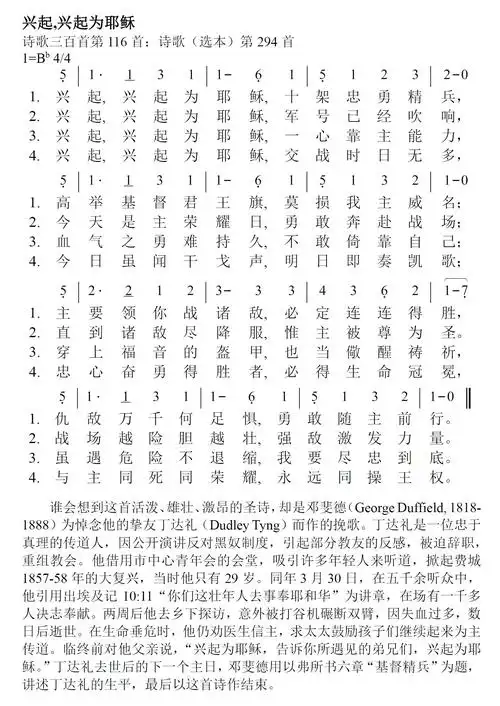
第154首 - 兴起为耶稣 和弦简谱_简谱_乐谱吧
下载原图
相关图片
兴起为耶稣
第195首兴起为耶稣
676兴起为耶稣
第371首兴起兴起为耶稣
雅昌讲堂王加遇见拉斐尔线上首发
只有信耶稣才能得救,是上帝太霸道吗?
为你推荐
中国风花纹纹理青花瓷图案素材素材
在与沈月,胡一天等人的合影中,她也不逊色.
天青牛蟒全魂骨洗练推荐 - 斗罗大陆:武魂觉醒攻略-小米游戏中心
夫妻本是同林鸟但抱歉王宝强这次救不了女友冯清
北影最美考生古力娜扎曾因太漂亮遭排斥高清大图
老九门#.#半截李#.本想改一下脸和发.
杨丽菁个人资料近照(杨丽菁老公是谁)(7)
重瓣非洲堇,优秀的室内观赏植物,家里养一株,四季有花赏