图知网
搜索
首页
热门推荐
图片分类
相册
下载原图
相关图片
pilots go through pre-flight procedures
机场概况
militarymedicalstaffarriveinwuhan
没去航空开放活动不要紧,小编上大图带你看现场!
向战而飞雏鹰的战场初体验
遇见
为你推荐
精美针管笔点绘欣赏 来自 justin estcourt
浪花花臂未完待续 坐标重庆观_纹身吧社区 - 纹身大咖
绿色,猴子,塞内加尔,非洲
甲片成品穿戴美甲可拆卸假指甲片学生定制 可爱款-萌萌奶牛【短】
委屈巴巴表情gif
猛犸象牙八面佛吊坠欣赏
台湾八眼天珠
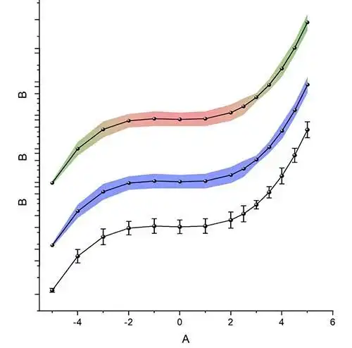
简单五步绘制高颜值误差图origin图文教程