图知网
搜索
首页
热门推荐
图片分类
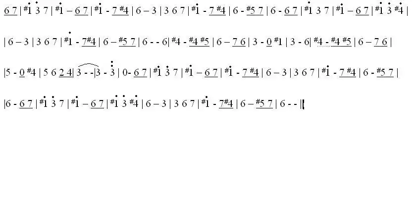
山妖 简易版 格里格 钢琴谱 简谱
下载原图
相关图片
窑洞里藏 土炕里埋_简谱_搜谱网
山妖—简易版 _山妖—简易版 简谱_山妖—简易版 吉他谱_钢琴谱-查
小型乐曲 山妖(选自武汉音乐学院钢琴考级教程七级)
山妖—简易版 键盘类 钢琴 歌谱简谱网
小型乐曲 山妖(选自武汉音乐学院钢琴考级教程七级)
翻译钢琴谱
为你推荐
恒大精装二手房改装
齐刘海长直发内扣发型展示 4款清新直发保你虏获直男
数字上的花草世界(下)
刘涛吊带背心干练十足写真
淡雅古风头像,气质又温柔93 女生淡雅古风头像来啦!
东北特色家常菜榛蘑炒白菜,老师傅教你一招,口感脆嫩,味道鲜香
十字星光灯点光源灯带控制器防水户外led节能彩光
产品库 食品加工机械 油炸设备 电加热油炸机 连续油炸流水线