图知网
搜索
首页
热门推荐
图片分类
焦作市老干部大学
下载原图
相关图片
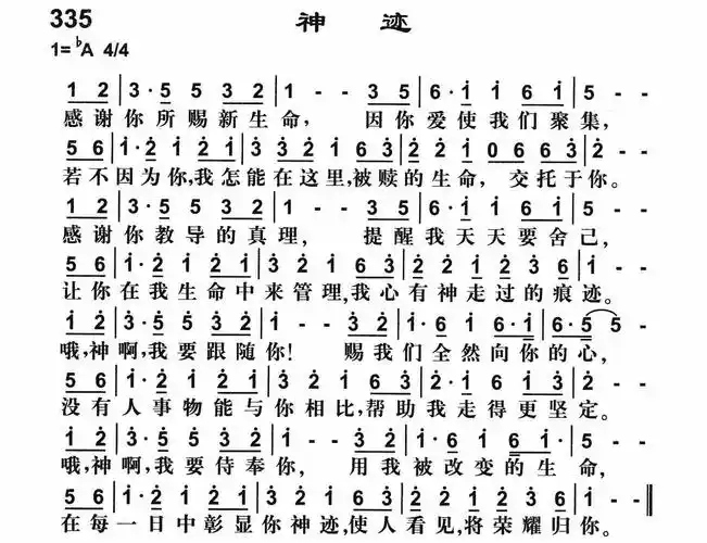
行神迹的神 官方 歌谱 和弦谱,简谱
第1061首 - 神迹_简谱_乐谱吧
神迹) / 南窗听雨编辑相关歌谱:[简谱]行神迹的神 官方和弦谱[计鬃
阿多的美篇
第10首神迹
神迹歌曲基督教的歌曲谱_基督教神迹图片
为你推荐
买一送一矢量图__海报设计_广告设计_矢量图库_昵图网nipic.com
高档女装品牌专柜正品连衣裙
神话里面金喜善白衣飘飘好似仙女的图片_游戏壁纸_精品库
在家办公是种什么样的体验# 各位听众上午好,欢迎收听yc1005.
原创后宫佳丽微胖身材永远的神
程媛媛坏小子乐团热映麻辣教师热血上线
沙鲁
下面是我自己应用多年的一个现场布置图,是沙龙,培训常用的鱼骨式分组