Warning: session_start(): open(/tmp/sess_m5oidtkciv76utghp8m2oo8tfb, O_RDWR) failed: No space left on device (28) in /www/wwwroot/www.tuzhiw.com/config.php on line 13

Warning: session_start(): Failed to read session data: files (path: ) in /www/wwwroot/www.tuzhiw.com/config.php on line 13
矗耸 - 图知网

矗耸

相关图片

为你推荐

其实他早已结婚,女儿有点像小甜馨_范晓萱_影戏_少年

猴子捞月图片简笔画 猴子捞月图片简笔画涂颜色

mega闪光耿鬼

或远或近的距离

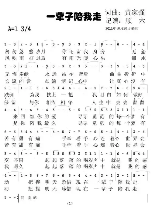
金蛇狂舞(民间乐曲)简谱/歌谱

怎样纠正成年人驼背耸肩等不良体态

苗凯:从农村走出来的央视主播,弟弟替他辍学,女友帮他走上播音之路

人人都知道:"陈法官的生活除了每天十公里就是工作.


Warning: file_put_contents(/www/wwwroot/www.tuzhiw.com/cache/image/355de33f40d6e523c649b425d98f72c1.html): Failed to open stream: No space left on device in /www/wwwroot/www.tuzhiw.com/config.php on line 196