图知网
搜索
首页
热门推荐
图片分类
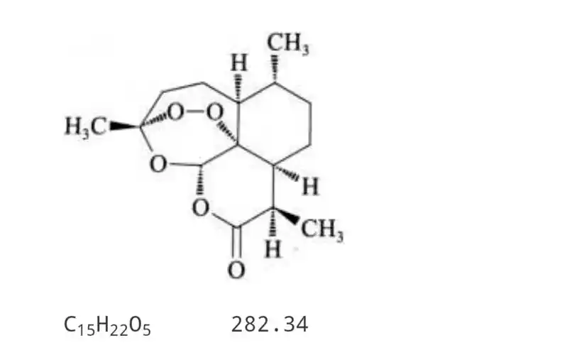
青蒿素作为有效抗疟疾药物的发现: 一个不同寻常的中国故事
下载原图
相关图片
青蒿素结构式
青蒿素
双氢青蒿素_密度_沸点_分子量_双氢青蒿素cas号【81496-82-4】_化源网
双氢青蒿素
屠呦呦成功提取到了一种分子式为c15h2205的无色结晶体,命名为青蒿素
每天西药青蒿素
为你推荐
李宁运动服套装2022秋季新款开衫男子宽松休闲运动茄克
当年送中国"3万只羊"的蒙古国总统,如今涉嫌18亿贪腐大案!
"我到了边境线后就被带去了小黑屋,逼迫我从事诈骗工作.
世界上最难唱的歌(c调,包贝尔&朱亚文) 吉他谱 - 第1张
6月23日周日上午班·丹尼斯校区·国际动漫班作品·《环保pop海报》
2023年放假调休日历表,附法定节假日放假时间 - 民生 - 深圳都市圈
【ff14】绝龙诗过本纪念
预订the emergency sasquatch ordinance: and other rea