图知网
搜索
首页
热门推荐
图片分类
李荣浩《老街》专辑装帧设计
下载原图
相关图片
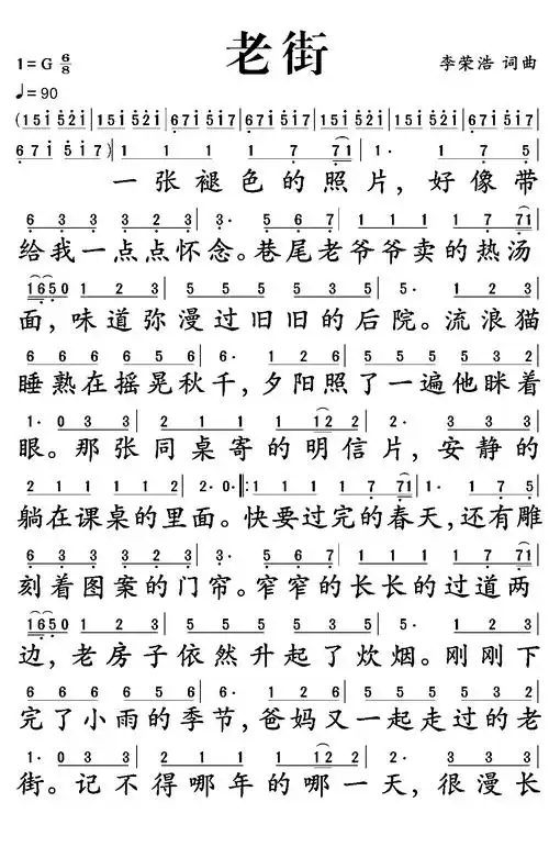
老街李荣浩歌词简谱第1页
【无损hi-res】李荣浩《老街》"透过手指间看着天,我又回到那老街,靠
老街吉他谱 李荣浩 g调 无限延音编配1
>>老街 李荣浩 原版简单优化 唯音悦制谱
李荣浩《老街》吉他谱_吉他弹唱视频教学_g调指法吉他谱
这首《老街》深情好听,歌词优美,听痴了|声乐|李荣浩|情歌|民谣_网易
为你推荐
吃货少女女生头像
正文
国外城市街道风景图片壁纸
盘点新疆最美沙漠景点,新疆6大绝美沙漠,你去过几个?
王俊凯头像
图5 地铁s1线栗园庄站(原生猪爸爸摄于2020年8月28日)
数字9的正确写法数字9的正确写法田字格图片
中国银行晋中市分行:落实"十件实事"关心关爱员工