图知网
搜索
首页
热门推荐
图片分类
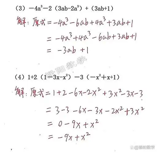
30道精编计算题,一次性帮你搞定七年级《整式的加减》运算
下载原图
相关图片
30道精编计算题,一次性帮你搞定七年级《整式的加减》运算
七年级数学下册平方差公式计算题及答案 七年级数学下册平方差公式
有理数混合计算题50道及答案
少年儿童出版社2021通城学典初中数学运算能手七年级上册z浙教版答案
有理数计算加答案
初一上册有理数加减混合计算
为你推荐
卡通人物头像可爱沙雕图片
兰德尔大白熊啤酒330ml*24罐整箱国产酒水火锅伴侣聚餐用
三军仪仗队方队女兵通过天安门广场
千万不能忽视这类银屑病………… 不能忽视的银屑病关节炎合并症.
第一进与三进院相同;第二进是对外使用的厅房和东西厢房,之后再设一道
新年主题系列活动——让年味回归之"福"字我来写
童鞋男童7小学生8休闲9男孩儿童运动鞋春秋款12中大童13岁弹簧鞋
头像女霸气冷酷无情盘点超霸气酷拽女生头像