图知网
搜索
首页
热门推荐
图片分类
1642542枸橼酸乙胺嗪
下载原图
相关图片
海群生hetrazan枸橼酸乙胺嗪片
对班氏丝虫,马来丝虫和盘尾丝虫成虫及微丝蚴的活性较乙胺嗪为高,但
乙胺嗪
对班氏丝虫,马来丝虫和盘尾丝虫成虫及微丝蚴的活性较乙胺嗪为高,但
枸橼酸乙胺嗪
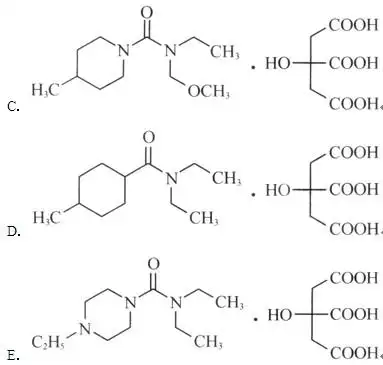
抗丝虫病药枸橼酸乙胺嗪的化学结构为
为你推荐
张彬彬超帅时尚写真图片桌面壁纸,分辨率:1920x1200
张国立邓婕二婚,被要求30年不要孩子,如今63岁有了女儿_生活_婚姻
金佳悦,nba女神,身材傲人,颜值颇高.
早上吃早餐经过篮球场,有几个男生在打球,抬眼整好一个标准3分球,突然
我家宝宝45天了,今天洗澡发现她的左边乳头有一个小白点,裏面像是有
白色壁纸
要知道,小米15pro这颗长焦是小米14ultra上的同款5x,无论是cmos还是
波尔山羊小羊羔通凯河南驻马店波尔山羊养殖场