图知网
搜索
首页
热门推荐
图片分类
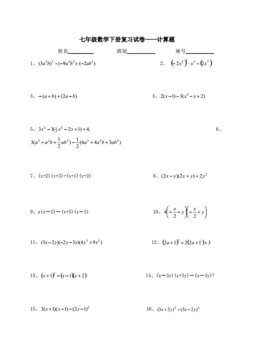
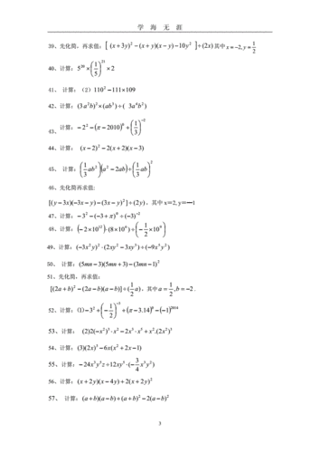
七下数学计算题100道
下载原图
相关图片
七年级下册数学计算题300道培训讲学doc26页
北师大版七年级数学下册 基础计算题100题(无答案).doc
最新七年级下册解不等式计算题解析.docx 7页
七年级下册数学计算题300道.docx 29页
七年级下册二元一次方程计算题含答案
北师大版七年级数学下册 基础计算题100题(无答案).doc
为你推荐
笑起来超甜超治愈呀#孙艺珍 #盛世美颜
千手扉间 宇智波泉奈
十字架和鸽子采用指已提到的人sunsh采用e照片
二,9本无x弩护黑阵型,我在别的部落抄来的…对付屌丝流还可以,但是要
老板表情包
7月3日玉米最新价格行情
星空吊顶装修,网红星空顶,满天星好看到爆,新品上市
超赞的静物果蔬水彩欣赏,适合临摹练习的水彩水果素材!