图知网
搜索
首页
热门推荐
图片分类
land rover - "passport"
下载原图
相关图片
subscript
html dom subscript用法及代码示例
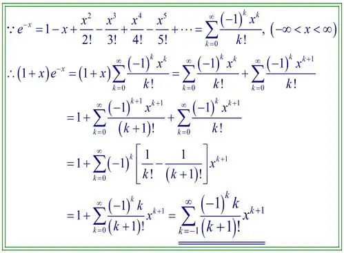
注意:求和符号的下标subscript,是从 -1 起.
前缀 sub-superscriptsubscript2.fieldvelocity1.viscosity1.
gousto免费派餐啦完全免单
柬埔寨字母表 khmer alphabet柬埔寨语字母表 consonants subscript
为你推荐
金山银山
wps office 2016 v10 crack with serial key free download
冰上的尤里 #尤里#维克托 #维克托勇利 - 抖音
端银微信成交社 郭午阳 《商业模式新生代》读书笔记
华盛顿,山,冬,森林,雪,金河池塘 桌布 - 1920x1080 全高清
准新dupont都彭镀金波浪纹l2中号
11岁的小学生送给妈妈的简单画(小学生画妈妈唯美睡姿火了)(5)
竖幅鲤鱼荔枝一一九鱼图_花鸟国画原作_最佳静心阁【7788收藏__收藏