图知网
搜索
首页
热门推荐
图片分类
利智资料 :嫁给李连杰经常哭,这是为何?
下载原图
相关图片
何超欣利智何超云对比图何超欣是赌王与利智的孩子吗
何超欣利智何超云对比图何超欣是赌王与利智的孩子吗
世人皆羡慕李连杰利智,殊不知被狠心告别的黄秋燕,究竟过得如何_丈夫
会和何超云一样长得像利智吗?
90年代,利智和李连杰在热恋时期的老照片,他们当时看起来非常年轻.
利智为何没嫁给赌王反而嫁给已婚李连杰看看赌王老婆使啥招了
为你推荐
严浩翔与刘耀文:什么叫顶级双a组合?
生字词巩固丨16年级上第一单元生字笔顺动图组词
全场特价包邮 假面骑士saber 圣刃 剑锋 软胶人偶可动
【转载】陈宇秋极致高清
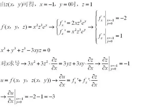
展开全部 2,先确定x,y为自变量 再利用链式法则求各偏导数的值 结果=
驾考宝典之图解直角转弯技巧
口袋妖怪剑盾闪光3月第一闪沉重球怪颚龙
斯美斯真皮夹克男装修身短款 2019新款连帽真皮皮衣潮男士休闲皮衣