图知网
搜索
首页
热门推荐
图片分类
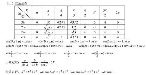
三角函数公式大全表格_wps表格函数公式大全_excel表格函数公式大全
下载原图
相关图片
反三角函数特殊值表
三角函数和反三角函数详解
常用反三角函数公式doc5页
以及反三角函数的定义域是什么要知道哦97,友友们认真体会哦 (虽然
0到360度三角函数值表特殊角的三角函数值表
请给个反三角函数表,全套的,高中常用的 就像1=sin90=cos0=tan45
为你推荐
头像女可爱呆萌图片高清 超好看女生真人微信头像大全
它的用途不但可以扩大手风琴的音域,而且可以变换各种不同的音色.
网剧《猎冰》官宣定档2月21日,"华为小公主"姚安娜演女主角搭张颂文
斗罗大陆动漫唐三电脑桌面壁纸 唐三长大图片成人高清电脑壁纸图片
广播图标信号符号
凯迪仕智能锁 #智能锁 #智能指纹锁 #智能锁选购 #智能家居
南京男士水疗spa会所
混凝土蜂窝修补